(1) 행렬식과 평행사변형

행렬 A = (ab; cd)이면 열 벡터 v1 = (a, c), v2 = (b, d)로 표현할 수 있습니다.
두 열 벡터좌표로 표현하면 오른쪽 그림과 같이 됩니다. 생성되는 평행 사변형의 영역저장하자
증명의 내용을 알고 싶지 않고 결론만 알고 싶다면 마지막 두 줄만 읽으십시오.
평행사변형의 면적은 기본 * 높이로 계산할 수 있습니다.
영역 A = B(베이스) * H(높이) 오전.
이때, B = ||v1|| 동일
피타고라스의 정리에 의해 H² + ||proj(V2)||² = ||V2||² 오전.
이때 proj(V2)는 v1에 투영된 v2의 값이다.
프로젝트(x) = {(x·v) / (v·v)} v 이 때문에 (텍스트 8-5 참조)
proj(V2) = {(V2 V1) / (V1 V1)} V1 다음과 같이 계산할 수 있습니다.
이것을 대입해서 방정식을 계속 풀어봅시다.

시간² = ||V2||² – ||proj(V2)||²
시간² = ||V2||² – ||{(V2 V1) / (V1 V1)} V1 ||²
시간² = V2 · V2 – ||{(V2 V1) / (V1 V1)} V1 ||²
시간² = V2 · V2 – {(V2 V1) / (V1 V1)}*V1 · {(V2 V1) / (V1 V1)}*V1
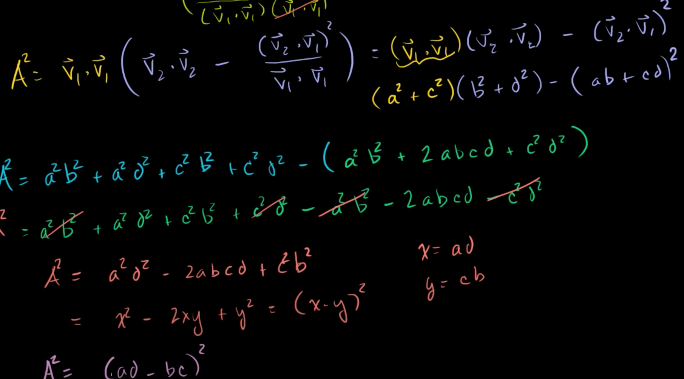
시간² = V2 · V2 – {(V2·V1)(V2 V1) / (V1·V1)(V1·V1)}*(V1 ·v1)
시간² = V2 · V2 – (V2 V1)(V2 V1) / (V1·V1)
피타고라스 법칙을 사용하여 H이제 우리는 ²에 대한 표현을 찾았습니다. 대체 A = BH그럼 지역을 찾아봅시다.
ㅏ² = B²H²
비² = ||V1||² = V1·V1
ㅏ² = (V1V1) * (V2 · V2 – (V2 V1)(V2 V1) / (V1·V1))
ㅏ² = (V1V1) * (V2 V2 ) – (V2 V1)²

A = (ab; cd), v1 = (a, c) 및 v2 = (b, d)이므로
ㅏ² = (V1·V1) * (V2 V2 ) – (V2 V1)²에 실제 값으로 대체할 수있어
v1·v1 =² + c²
v2·v2 = 비² + 디²
v2·v1 = ab+cd
ㅏ² = (ㅏ²+c²) * (비²+d²) – (ab+cd)²
방정식을 풀면,
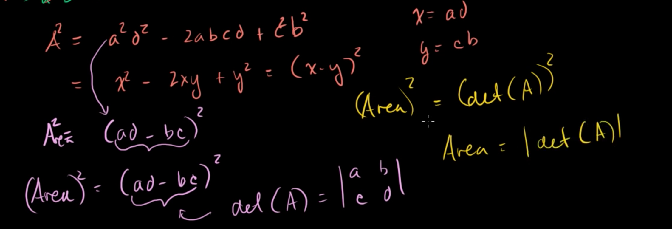
ㅏ² = ㅏ²d² – 2abcd + c²b²
ㅏ² = (ad-bc)²

왜냐하면 ad-bc = det(A)
ㅏ² = (그것(A))²
면적 = |det(A)|
결론적으로 행렬식은 열 벡터에 의해 형성된 평행 사변형의 면적과 같습니다.
결정자가 0이면 두 벡터에 의해 생성된 평행사변형이 없습니다.그것은 볼 수 있습니다